| set | mean_x | mean_y | sd_x | sd_y | cor |
|---|---|---|---|---|---|
| 1 | 9 | 7.5 | 3.32 | 2.03 | 0.82 |
| 2 | 9 | 7.5 | 3.32 | 2.03 | 0.82 |
| 3 | 9 | 7.5 | 3.32 | 2.03 | 0.82 |
| 4 | 9 | 7.5 | 3.32 | 2.03 | 0.82 |
PSY 410: Data Science for Psychology
2026-04-01
Four datasets with identical summary statistics:
| set | mean_x | mean_y | sd_x | sd_y | cor |
|---|---|---|---|---|---|
| 1 | 9 | 7.5 | 3.32 | 2.03 | 0.82 |
| 2 | 9 | 7.5 | 3.32 | 2.03 | 0.82 |
| 3 | 9 | 7.5 | 3.32 | 2.03 | 0.82 |
| 4 | 9 | 7.5 | 3.32 | 2.03 | 0.82 |
Always visualize your data before running statistics.
The “gg” stands for “Grammar of Graphics”
Every ggplot has three essential components:
Rows: 234
Columns: 11
$ manufacturer <chr> "audi", "audi", "audi", "audi", "audi", "audi", "audi", "…
$ model <chr> "a4", "a4", "a4", "a4", "a4", "a4", "a4", "a4 quattro", "…
$ displ <dbl> 1.8, 1.8, 2.0, 2.0, 2.8, 2.8, 3.1, 1.8, 1.8, 2.0, 2.0, 2.…
$ year <int> 1999, 1999, 2008, 2008, 1999, 1999, 2008, 1999, 1999, 200…
$ cyl <int> 4, 4, 4, 4, 6, 6, 6, 4, 4, 4, 4, 6, 6, 6, 6, 6, 6, 8, 8, …
$ trans <chr> "auto(l5)", "manual(m5)", "manual(m6)", "auto(av)", "auto…
$ drv <chr> "f", "f", "f", "f", "f", "f", "f", "4", "4", "4", "4", "4…
$ cty <int> 18, 21, 20, 21, 16, 18, 18, 18, 16, 20, 19, 15, 17, 17, 1…
$ hwy <int> 29, 29, 31, 30, 26, 26, 27, 26, 25, 28, 27, 25, 25, 25, 2…
$ fl <chr> "p", "p", "p", "p", "p", "p", "p", "p", "p", "p", "p", "p…
$ class <chr> "compact", "compact", "compact", "compact", "compact", "c…

data = mpg — use the mpg datasetaes(x = displ, y = hwy) — map displacement to x, highway mpg to ygeom_point() — represent data as pointsAesthetics are visual properties of geoms:
x, y — positioncolor — outline or line colorfill — interior color (bars, boxes)size, shape, alpha — size, shape, and transparencyWe’ll focus on color today — you’ll explore the others in assignments.
What if we want to see which points are which car class?

Mapping — aesthetic varies with data (inside aes())
Setting — aesthetic is constant (outside aes())
ggplot thinks “blue” is a category name!

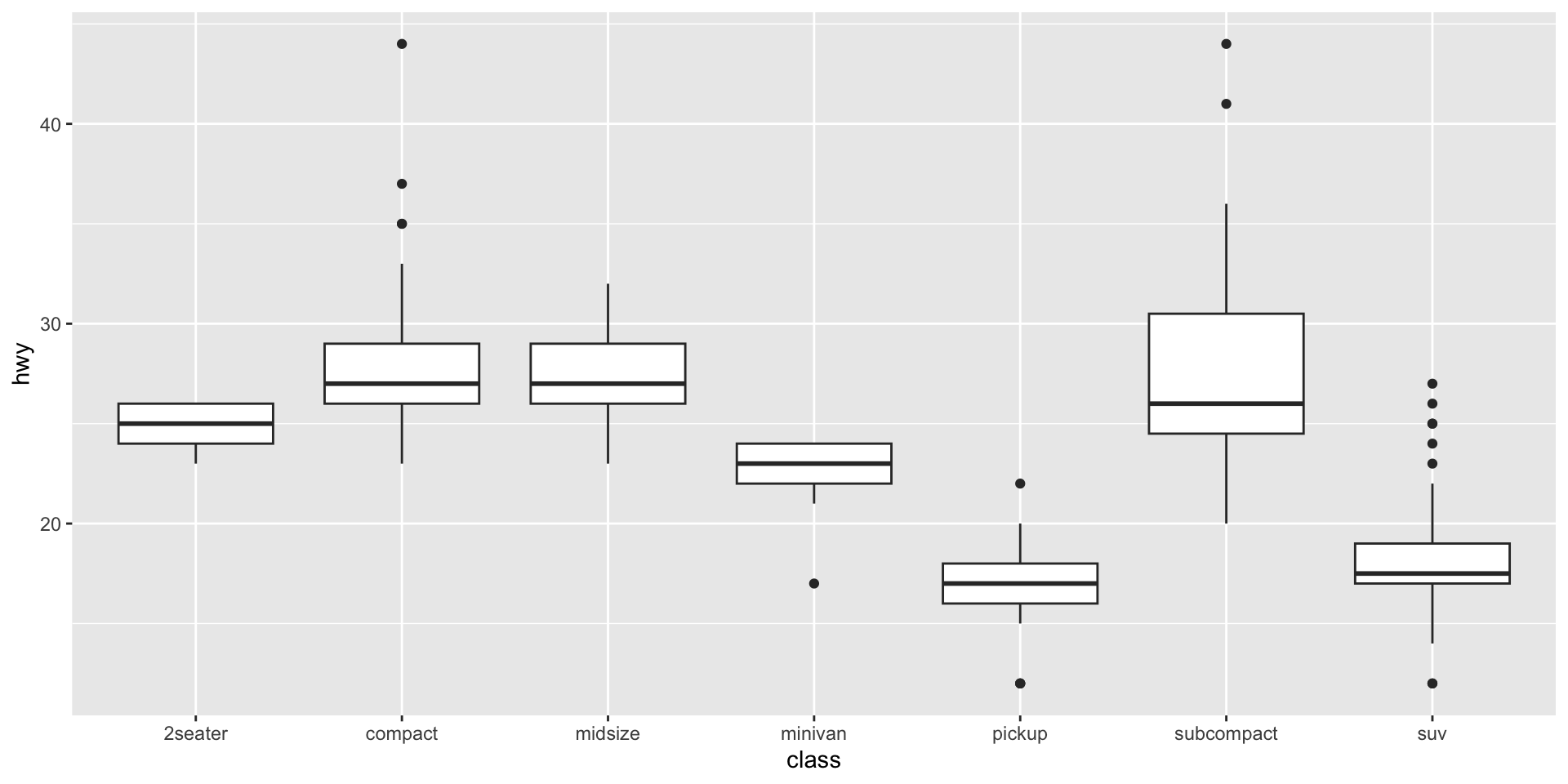
| Geom | What it makes |
|---|---|
geom_point() |
Scatterplot |
geom_line() |
Line graph |
geom_bar() |
Bar chart |
geom_histogram() |
Histogram |
geom_boxplot() |
Box plot |
geom_smooth() |
Smoothed line |
Add a trend line to your scatterplot:


Each + adds a layer:

With a partner, create a scatterplot using the mpg dataset:
cty (x-axis) vs hwy (y-axis)fl)Tip
You have everything you need from the last few slides. Start with the basic template and build from there.
📤 Upload your code to Canvas for participation credit. Paste what you have into today’s in-class submission — it doesn’t need to work perfectly.



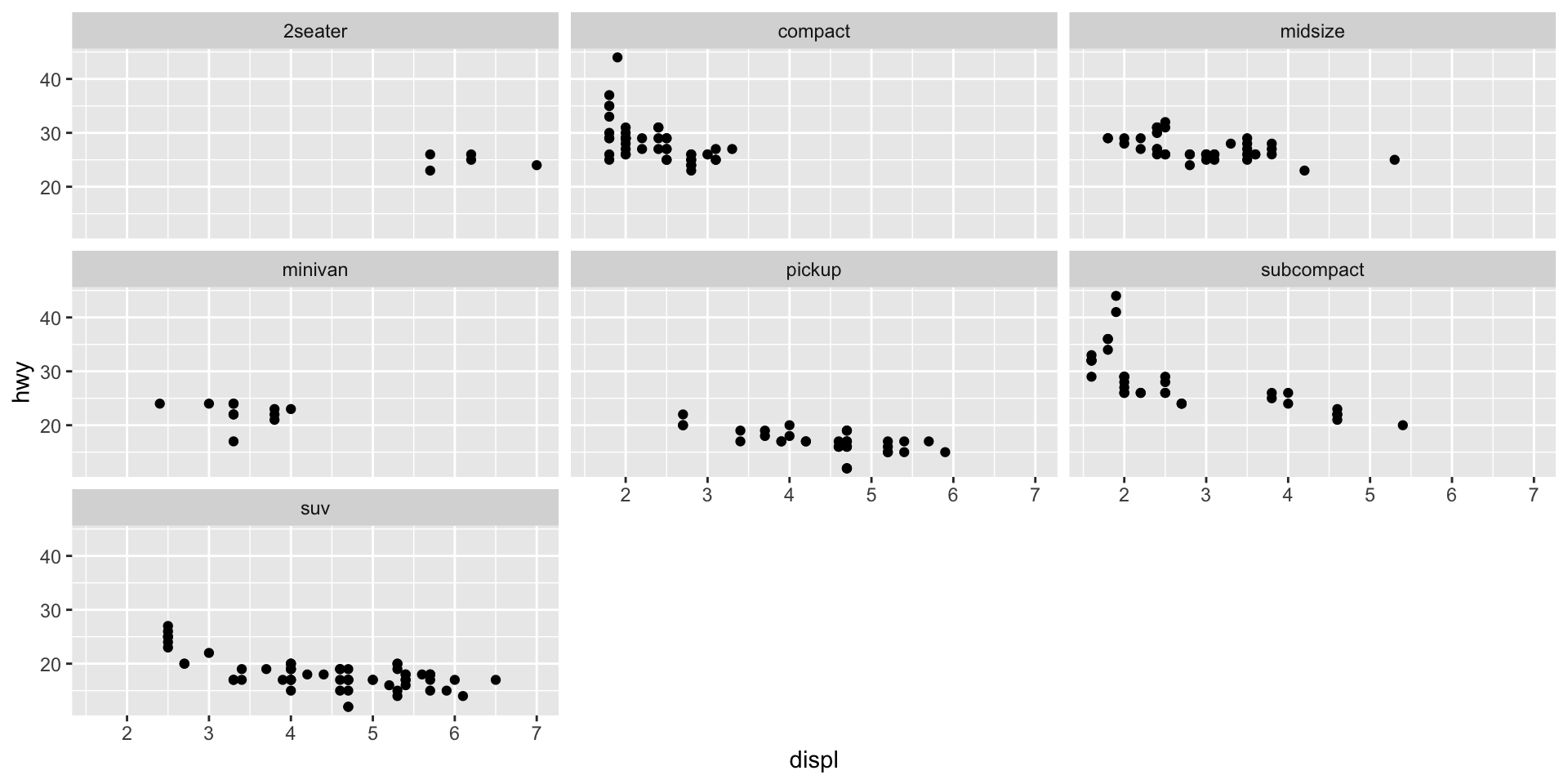
Facets split your plot into small multiples based on a variable.


Themes control the overall look:
Try different ones: theme_bw(), theme_classic(), theme_gray() (default)

Use ggsave() to save your plot:
The ggplot template works the same way with any data:
set.seed(410) # Reproducible results
# Simulated experiment: condition vs. anxiety score
psych_demo <- tibble(
condition = rep(c("Control", "Treatment"), each = 30),
anxiety = c(rnorm(30, mean = 35, sd = 8), rnorm(30, mean = 28, sd = 8))
)
ggplot(psych_demo, aes(x = condition, y = anxiety, fill = condition)) +
geom_boxplot(alpha = 0.7, show.legend = FALSE) +
labs(
title = "Treatment Group Reports Lower Anxiety",
x = NULL,
y = "Anxiety score (BAI)"
) +
theme_minimal(base_size = 14)
ggplot(mpg, aes(x = displ, y = hwy)) +
geom_point(aes(color = class), size = 2, alpha = 0.7) +
geom_smooth(method = "lm", color = "black", se = TRUE) +
labs(
title = "Fuel Efficiency Decreases with Engine Size",
subtitle = "Data from 234 vehicles (1999-2008)",
x = "Engine displacement (liters)",
y = "Highway MPG",
color = "Vehicle class",
caption = "Source: EPA fuel economy data"
) +
theme_minimal(base_size = 14)
Open a new R script in your project. Try these on your own:
displ vs hwy from mpgclassdrv (drive type)ggsave()This is the first part of Assignment 1.
📖 Read: R4DS Ch 3: Data transformation (sections 3.1–3.4)
📝 Assignment 1 is due Sunday at 11:59 PM
Today’s template — you’ll use it all quarter:
Next time: Data Transformation with dplyr
PSY 410 | Session 2